
类型:漫画 版本:大小:113.66MB更新:2026/5/27 12:18:43 语言:简体中文等级:平台:Android
软件介绍



几何画板中文版是一款专为数学教师、学生以及几何学爱好者打造的高效教学辅助工具。借助直观的图形交互与丰富的功能模块,它能帮助用户更轻松地攻克几何难题,有效提升几何学习的成效。
打开软件后,首页设有单位换算等功能选项,点击几何按钮即可进入对应的几何公式展示页面。
2、打开几何页面,查看三角形的面积、周长等公式,浏览这些与几何相关的公式内容信息。
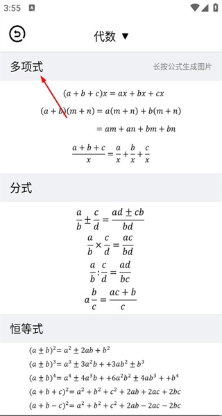
3、点击代数按钮,切换至代数分类页面,查看多项式、分式等对应的代数公式内容。
4、点击三角学按钮,进入三角学页面,查看直角三角形三角函数等相关的公式内容。
1、几何画板中文版本具备多种几何图形的绘制功能,像线段、圆、矩形、三角形等都能绘制,同时还支持对这些图形进行编辑与调整的操作。
2、该功能还具备测量与计算能力,用户只需通过简便操作,就能对图形的角度、长度、面积等属性进行测量,同时开展相关计算。
3、另外,几何画板中文版本也具备保存与分享的功能,用户能够把自己创作的作品存储为图片或者文件,以便于后续查看和分享。
1、几何画板的中文界面简洁清晰,操作顺畅,用户使用体验佳。
2、该工具配备了丰富的几何符号与标注功能,能帮助用户更清晰地呈现几何思路与推导过程。
3、几何画板中文版本还支持多种解题方式,用户能够借助不同的思路与方法,来解答同一道几何题目。
1、几何画板中文版本能够助力用户更直观地领会几何概念,提升几何学习的兴趣与成效。
2、该功能具备强大的计算与测量能力,能有效简化用户手动计算的繁琐流程。
3、几何画板中文版本具备文件保存与分享功能,能让用户随时查看和分享自己的作品,这有助于推动几何学习过程中的交流与合作。
v4.6.2
修复已知问题
36漫画app官方版
爱看漫画
哔咔漫画picacg最新版
漫画岛官网版
acfun流鼻血图标版
123漫画官方版免费版
天天漫画
多多漫画app
123漫画
腐次元安卓版
jk漫画正规版
PODO漫画
123漫画官方版
香香腐竹免费版
追追漫画官方版
一耽漫画
99漫画app
免耽漫画
好漫屋app官方版
33.3MBv1.3.1
漫士多官方正版最新版
18.9MBv1.10.3
哔咔哔咔粉色
40.6MBv1.3.2
北巷漫画
21.2MBv8.3.7
36漫画app
15.7MBv9tg.06.07.207
画涯漫画app官方版
21.7MBv1.1.0
天天漫画app旧版
24.2MBv8.7.4
北巷漫画app
21.2MBv8.3.7